Surat Pernyataan Cpns Bnpt : Contoh Surat Pernyataan Cpns Bersedia Ditempatkan Dimana Saja Ato Menulis / Surat lamaran dan surat pernyataan cpns bnpt 2019;

Surat Pernyataan Cpns Bnpt : Contoh Surat Pernyataan Cpns Bersedia Ditempatkan Dimana Saja Ato Menulis / Surat lamaran dan surat pernyataan cpns bnpt 2019;. 8 wajib tercantum dalam surat pernyataan. 16810 jalan anyar 12 2 1, sukahati kec. Membuat surat pernyataan dalam melamar cpns bagi yang belum pernah memang sedikit susah. Pendaftaran cpns bpk ri tahun 2021. Surat pernyataan cpns dari pelamar bermaterai rp.

Fotokopi surat lamaran yang ditulis tangan pada. Surat pernyataan cpns dari pelamar bermaterai rp. By posted on april 21,. Rabu, 7 juli 2021 14:38. Untuk itu, para pelamar diwajibkan untuk membuat sebuah surat pernyataan.

Rekrutmen Cpns Badan Nasional Penanggulangan Teroris Tahun 2019 139 Formasi Rekrutmen Lowongan Kerja Bulan Juli 2021
Rekrutmen Cpns Badan Nasional Penanggulangan Teroris Tahun 2019 139 Formasi Rekrutmen Lowongan Kerja Bulan Juli 2021 from 1.bp.blogspot.com
Surat lamaran dan surat pernyataan cpns bnpt 2019; Apabila ada point yang tidak termuat dianggap tidak sah dan digugurkan. Surat pernyataan cpns dari pelamar bermaterai rp. Perlu diingat, semua berkas usahakan yang asli, karena berkas asli sebagai legalitas data dari diri anda semua. Segera dibuka jadwal dan syarat pendaftaran cpns bnpt 2021 yang akan bersamaan dengan pembukaan seleksi penerimaan asn secara serentak seluruh indonesia. Dalam rangka memberikan kesempatan yang lebih luas kepada masyarakat untuk mengikuti seleksi calon asn tahun 2021, dilakukan perpanjangan masa pendaftaran dan penyesuaian jadwal tahapan pelaksanaan seleksi calon asn bpk tahun 2021 yang dapat dilihat dalam pengumuman no. Setidaknya alur seleksi penerimaan cpns bnpt 2019 adalah seperti di atas. Contoh surat lamaran sscn bnpt have a graphic associated with the other.contoh surat lamaran sscn bnpt in addition, it will include a picture of a sort that may be observed in the gallery of contoh surat lamaran sscn bnpt.

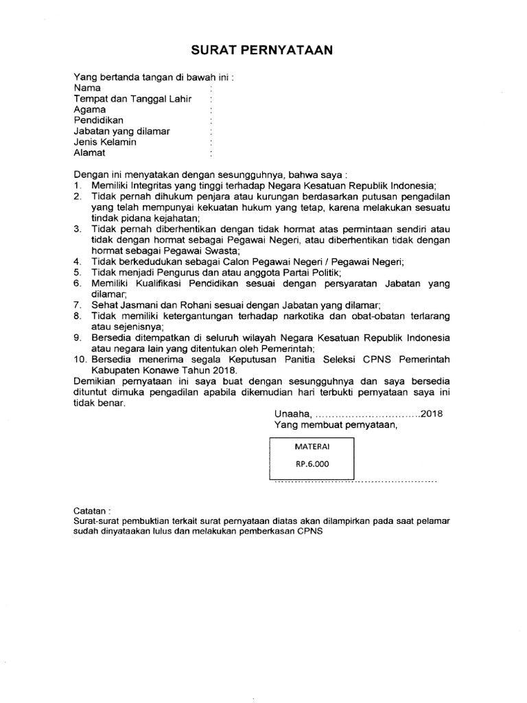
Nah, bagi anda yang sedang membutuhkan referensi tentang bagaiman cara membuat surat pernyataan cpns, berikut ini kami sediakan contoh surat pernyataan cpns untuk lulusan sma di salah satu kementerian yang kebetulan di tahun 2018 ini sedang membuka pendaftaran cpns.

Surat pernyataan cpns bppt formasi tahun 2019. Demikian pernyataan ini dibuat, apabila terbukti tidak benar, maka saya bersedia digugurkan atau dibatalkan kelulusan pada seleksi cpns mahkamah agung tahun 2019. Demikian surat pernyataan ini dibuat dengan sesungguhnya, apabila dikemudian hari ditemukan data dan dokumen yang tidak benar, maka saya menerima keputusan panitia membatalkan keikutsertaan/kelulusan saya pada seleksi cpns badan pemeriksa keuangan tahun 2018 atau pns dan diberhentikan dengan tidak hormat dari badan pemeriksa keuangan. Kumpulan gambar contoh surat lamaran sscn bnpt yang baik dan benar 2019. Berikan komentar anda untuk informasi yang belum kami sampaikan atau terlewatkan, kontribusi anda dalam berkomentar akan sangat bermanfaat kami dan pengunjung blog ini. Warga negara indonesia (wni) yang bertakwa kepada tuhan yang maha esa, setia, dan taat Jadwal syarat cara pendaftaran cpns bnpt 2021 lulusan sma d3 s1. Beserta mencantumkan nomor telepon dan hp calon pegawai negeri sipil badan nasional penanggulangan terorisme yang telah secara sah. Bpk mengundang putra/putri terbaik bangsa untuk bergabung menjadi. Setidaknya alur seleksi penerimaan cpns bnpt 2019 adalah seperti di atas. Kartu pendaftaran sscn tahun 2017 8. Selain perlu melengkapi dokumen persyaratan seperti ktp, ijazah, pas foto, akreditasi, transkrip nilai atau juga sertifikat lainnya, kamu juga perlu melengkapi persyaratan berupa surat lamaran dan surat pernyataan. Pemberkasan dan penetapan nip cpns.

Badan nasional penanggulangan terorisme (bnpt) secara resmi telah mengumumkan kelulusan akhir seleksi cpns di lingkungan bnpt tahun anggaran 2017. Jadwal syarat cara pendaftaran cpns bnpt 2021 lulusan sma d3 s1. Berikan komentar anda untuk informasi yang belum kami sampaikan atau terlewatkan, kontribusi anda dalam berkomentar akan sangat bermanfaat kami dan pengunjung blog ini. Dalam proses pendaftaran cpns dan pppk perlu menyerahkan. Mengutip data yang diperoleh dari situs resmi bnpt, bnpt.go.id, tercatat sebanyak.

Contoh Surat Lamaran Cpns 2019 Download Di Link Ini Halaman All Kompas Com
Contoh Surat Lamaran Cpns 2019 Download Di Link Ini Halaman All Kompas Com from asset.kompas.com
Citeureup, bogor, jawa barat 16810 telp. Selain perlu melengkapi dokumen persyaratan seperti ktp, ijazah, pas foto, akreditasi, transkrip nilai atau juga sertifikat lainnya, kamu juga perlu melengkapi persyaratan berupa surat lamaran dan surat pernyataan. Kartu pendaftaran sscn tahun 2017 8. Dalam proses pendaftaran cpns dan pppk perlu menyerahkan. Pendaftaran cpns badan nasional penanggulangan terorisme (bnpt) dilakukan secara online melalui situs panitia seleksi nasional untuk mendapatkan username dan password serta kartu registrasi 2. Jadwal syarat cara pendaftaran cpns bnpt 2021 lulusan sma d3 s1. Menurut jadwal, rencana pembukaan pendaftaran cpns yakni pada juni 2021. Demikian pernyataan ini dibuat, apabila terbukti tidak benar, maka saya bersedia digugurkan atau dibatalkan kelulusan pada seleksi cpns mahkamah agung tahun 2019.

Pemberkasan dan penetapan nip cpns.

Di atas adalah contoh surat pernyataan salah satu instansi pemerintah pada seleksi cpns tahun 2019 lalu. Hasil kelulusan akhir seleksi cpns bpnt lolos skb 2017, pengumuman hasil skb bpnpt, hasil akhir lulus seleksi cpns bpnt, lulus cpns bnpt. Contoh surat pernyataan cpns kemenkumham 2017 slta. Rabu, 7 juli 2021 14:38. Demikian pernyataan ini dibuat, apabila terbukti tidak benar, maka saya bersedia digugurkan atau dibatalkan kelulusan pada seleksi cpns mahkamah agung tahun 2019. Pengumuman akhir lulus cpns bnpt 2019. Jadwal dan syarat pendaftaran cpns kukm 2021. The collection that consisting of chosen picture and the best amongst others. Warga negara indonesia (wni) yang bertakwa kepada tuhan yang maha esa, setia, dan taat (021) 29339666, 29339667, 29339668 email: Dan sebagai kelangkapan seleksi awal pendaftaran cpns tahun 2021 ini, bisa dipastikan kalau data diri bukan asli tentunya akan tersisih. Segera dibuka jadwal dan syarat pendaftaran cpns bnpt 2021 yang akan bersamaan dengan pembukaan seleksi penerimaan asn secara serentak seluruh indonesia. Pas photo terbaru ukuran 3x4 sebanyak 4 lembar 7.

Surat pernyataan cpns bppt formasi tahun 2019. The collection that consisting of chosen picture and the best amongst others. Kartu pendaftaran sscn tahun 2017 8. Demikian informas i ini, semoga bermanfaat dan bisa menambah referensi anda saat akan mendaftar cpns bnpt 2021. Pas photo terbaru ukuran 3x4 sebanyak 4 lembar 7.

Contoh Surat Lamaran Cpns Kemhan 2021 Dan Surat Pernyataan 11 Point Diunggah Di Sscasn Bkn Go Id Tribunnews Com Mobile
Contoh Surat Lamaran Cpns Kemhan 2021 Dan Surat Pernyataan 11 Point Diunggah Di Sscasn Bkn Go Id Tribunnews Com Mobile from cdn-2.tstatic.net
Pemberkasan dan penetapan nip cpns. Surat pernyataan cpns bppt formasi tahun 2019. Selain itu, dilengkapi juga contoh surat pernyataan 11 point. Surat pernyataan yang bertanda tangan di bawah ini: Beserta mencantumkan nomor telepon dan hp calon pegawai negeri sipil badan nasional penanggulangan terorisme yang telah secara sah. Jadwal dan syarat pendaftaran cpns kukm 2021. The collection that consisting of chosen picture and the best amongst others. Bpk mengundang putra/putri terbaik bangsa untuk bergabung menjadi.

Jadwal dan syarat pendaftaran cpns kukm 2021.

Akan tetapi, bisa berubah sesuai ketentuan dari bnpt itu sendiri. Segera dibuka jadwal dan syarat pendaftaran cpns bnpt 2021 yang akan bersamaan dengan pembukaan seleksi penerimaan asn secara serentak seluruh indonesia. Demikian surat pernyataan ini dibuat dengan sesungguhnya, apabila dikemudian hari ditemukan data dan dokumen yang tidak benar, maka saya menerima keputusan panitia membatalkan keikutsertaan/kelulusan saya pada seleksi cpns badan pemeriksa keuangan tahun 2018 atau pns dan diberhentikan dengan tidak hormat dari badan pemeriksa keuangan. Pengumuman cpns bnpt from angga aliya zr firdaus Merupakan pelamar calon pegawai negeri sipil (cpns) kementerian pendidikan, kebudayaan, riset, dan teknologi, menyatakan dengan sesungguhnya bahwa saya: Adapun kewajiban ini diumumkan secara resmi oleh badan kepegawaian negara (bkn) melalui akun media sosial. Surat lamaran dan surat pernyataan cpns bnpt 2019; 16810 jalan anyar 12 2 1, sukahati kec. By posted on april 21,. Bpk mengundang putra/putri terbaik bangsa untuk bergabung menjadi. Pengumuman akhir lulus cpns bnpt 2019. Kartu pendaftaran sscn tahun 2017 8. Warga negara indonesia (wni) yang bertakwa kepada tuhan yang maha esa, setia, dan taat